Zadanie

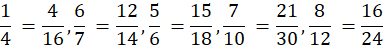
W tym zadaniu musisz rozszerzyć ułamki:
, czyli pomnożyć licznik i mianownik przez tę samą liczbę.

Rozwiązanie

Wyjaśnienie

Zadania z tego działu
5. Ułamki zwykłe
60
5.2, 5.3 Liczby mieszane i ułamki niewłaściwe. Ułamek jako iloraz
64
5.6 Rozszerzanie i skracanie ułamków
68
5.9, 5.10 Odejmowanie ułamków zwykłych o jednakowych mianownikach. Odejmowanie liczb mieszanych
71