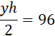
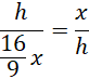
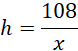
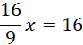
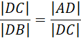
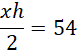
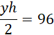
W trójkącie ABC kąt ACB jest prosty, a CD jest jego wysokością. Pole trójkąta ADC wynosi 54, a pole trójkąta DBC wynosi 96. Musisz obliczyć długości boków trójkąta ABC.
Z tw Pitagorasa
Z tw Pitagorasa
Boki trójkąta ABC: 15, 20, 25
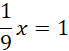
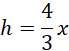
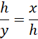
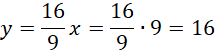
Zacznij od wykonania rysunku pomocniczego. Oblicz wysokość h w zależności od x i od y, wiedząc, że pole trójkąta ABC wynosi 54, a pole trójkąta DBC wynosi 96. Kolejno wyznacz zależność x od y. Wiedząc, że trójkąt ADC jest podobny z cechy kkk do trójkąta DBC wyznacz zależność x od h. Wyznacz długości h i y. Wyznacz długość x ze wzoru na pole trójkąta. Następnie wyznacz długość b z twierdzenia Pitagorasa. Kolejno z twierdzenia Pitagorasa wyznacz długość a i na koniec wyznacz boki trójkąta ABC.
Zadanie 1.
93Zadanie 2.
93Zadanie 3.
94Zadanie 4.
94Zadanie 5.
94Zadanie 6.
94Zadanie 7.
95Zadanie 8.
95Zadanie 9.
95Zadanie 10.
95Zadanie 11.
95Zadanie 12.
96Zadanie 13.
96Zadanie 20.
97Zadanie 26.
97Zadanie 28.
98Zadanie 29.
98Zadanie 30.
98Zadanie 31.
98Zadanie 32.
99Zadanie 33.
99Zadanie 34.
99Zadanie 37.
100Zadanie 38.
100Zadanie 39.
100Zadanie 40.
100Zadanie 42.
100Zadanie 43.
101Zadanie 44.
101Zadanie 45.
101Zadanie 46.
102Zadanie 47.
102Zadanie 48.
102Zadanie 50.
102Zadanie 51.
102Zadanie 54.
103Zadanie 55.
103Zadanie 56.
103Zadanie 64.
104Zadanie 66.
105Zadanie 67.
105Zadanie 75.
106Zadanie 78.
106Zadanie 82.
107Zadanie 83.
107Zadanie 84.
107Zadanie 87.
108Zadanie 88.
108Zadanie 89.
108Zadanie 90.
108Zadanie 94.
109Zadanie 95.
109Zadanie 99.
110Zadanie 102.
110Zadanie 103.
110Zadanie 8.
112Zadanie 10.
113