W tym zadaniu musisz obliczyć
Założenia:
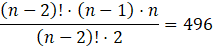
W tej klasie jest 32 osoby.
Aby obliczyć ilość osób w klasie, wiedząc, że dwuosobową delegację z tej klasy można wybrać na 496 sposobów, musisz rozwiązać równanie
Zadanie 4.
104Zadanie 5.
104Zadanie 8.
104Zadanie 9.
104Zadanie 10.
104Zadanie 11.
105Zadanie 12.
105Zadanie 13.
105Zadanie 14.
105Zadanie 15.
105Zadanie 16.
105Zadanie 4.
111Zadanie 5.
111Zadanie 6.
111Zadanie 7.
111Zadanie 8.
111Zadanie 9.
111Zadanie 10.
111Zadanie 2.
114Zadanie 3.
115Zadanie 5.
117Zadanie 6.
117Zadanie 7.
117Zadanie 8.
117Zadanie 9.
117Zadanie 11.
117Zadanie 13.
118Zadanie 14.
118Zadanie 15.
118Zadanie 16.
118Zadanie 17.
118Zadanie 1.
119Zadanie 4.
121Zadanie 6.
125Zadanie 7.
125Zadanie 8.
125Zadanie 10.
125Zadanie 14.
126Zadanie 15.
126Zadanie 16.
126Zadanie 17.
126Zadanie 18.
126Zadanie 19.
126Zadanie 11.
128Zadanie 12.
128Zadanie 13.
128Zadanie 14.
128Zadanie 15.
128Zadanie 16.
128Zadanie 17.
128Zadanie 18.
129Zadanie 19.
129Zadanie 25.
129Zadanie 26.
129Zadanie 27.
129