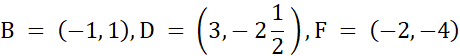
Wskaż współrzędne punktów B, D, F, jeśli figura ABCDEF jest osiowosymetryczna względem jednej osi układu współrzędnych, wiedząc, że:
Współrzędne symetryczne względem osi x:
Lub współrzędne symetryczne względem osi y:
Pamiętaj, że jeśli punkt w układzie współrzędnych jest symetryczny względem osi x, to jego druga współrzędna zmienia znak na przeciwny, natomiast, jeśli punkt jest symetryczny względem osi y, to jego pierwsza współrzędna zmienia znak na przeciwny.
Zadanie 1.
270Zadanie 3.
270Zadanie 7.
278Zadanie 12.
280Zadanie 18.
280Zadanie 2.
284Zadanie 4.
284Zadanie 6.
284Zadanie 8.
284Zadanie 11.
285Zadanie 12.
285Zadanie Sprawdź się! 2.
286Zadanie 1.
288Zadanie 12.
290Zadanie 2.
293Zadanie 4.
293Zadanie 5.
293Zadanie 6.
294Zadanie 8.
294Zadanie Wyzwanie 1.
295Zadanie Sprawdź się! 3.
295Ćwiczenie 5.
296Ćwiczenie 6.
297