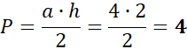
Zaznacz E = (-2, -1) i F = (2, -1). G jest symetryczny do E względem początku układu współrzędnych. Oblicz pole EFG:
A. 8
B. 4
Ile ma najdłuższy bok tego trójkąta?
G = (2, 1)
Odp.: B. 4
|EG|2 = 22 + 42
|EG|2 = 4 + 16 = 20
Jeśli dwa punkty A i A’ są symetryczne względem punktu S, to punkt S jest środkiem odcinka AA’.
Zadanie 1.
270Zadanie 3.
270Zadanie 7.
278Zadanie 12.
280Zadanie 18.
280Zadanie 2.
284Zadanie 4.
284Zadanie 6.
284Zadanie 8.
284Zadanie 11.
285Zadanie 12.
285Zadanie Sprawdź się! 2.
286Zadanie 1.
288Zadanie 12.
290Zadanie 2.
293Zadanie 4.
293Zadanie 5.
293Zadanie 6.
294Zadanie 8.
294Zadanie Wyzwanie 1.
295Zadanie Sprawdź się! 3.
295Ćwiczenie 5.
296Ćwiczenie 6.
297