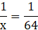
W tym zadaniu musisz podać wartość x w równaniu.
64
Chcesz, aby ułamki były sobie równe. Za x wstaw wartość, żeby się zgadzały
Zadanie 1.
89Zadanie 2.
89Zadanie 3.
89Zadanie 6.
89Zadanie 10.
90Zadanie 11.
90Zadanie 12.
90Zadanie 14.
90Zadanie 15.
90Zadanie 16.
90Zadanie 18.
90Zadanie 20.
91Zadanie 22.
91Zadanie 2.
92Zadanie 3.
92Zadanie 4.
92Zadanie 7.
92Zadanie 8.
92Zadanie 10.
93Zadanie 11.
93Zadanie 12.
93Zadanie 17.
93Zadanie 18.
93Zadanie 19.
94Zadanie 21.
94Zadanie 22.
94Zadanie 23.
94Zadanie 24.
93Zadanie 26.
94Zadanie 27.
94Zadanie 4.
95Zadanie 6.
95Zadanie 31.
97Zadanie 5.
98Zadanie 1.
101Zadanie 2.
101Zadanie 3.
101Zadanie 4.
101Zadanie 6.
101Zadanie 7.
101Zadanie 9.
102Zadanie 10.
102Zadanie 11.
102Zadanie 12.
102Zadanie 13.
102Zadanie 17.
103Zadanie 18.
103Zadanie 20.
103Zadanie 27.
103Zadanie 12.
105Zadanie 13.
105Zadanie 14.
106Zadanie 22.
106