Skul.pl
  • Opracowania zadań z podręczników
  • Matematyka z kluczem. Klasa 8. Zeszyt ćwiczeń - rozwiązania i odpowiedzi
  • Zadanie 20

Matematyka z kluczem. Klasa 8. Zeszyt ćwiczeń - rozwiązania i odpowiedzi

Zeszyt ćwiczeń, Wydawnictwo: Nowa Era
Poprzednie

Zadanie 20 - strona 103

Następne

Zadanie

W tym zadaniu musisz obliczyć, ile czasu trasa ze Smętowa do Wesołówka zajmuje pociągowi pospiesznemu.

Rozwiązanie

t = 1 h 45 min

Skul

Wyjaśnienie

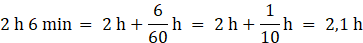
Najpierw oblicz średnią prędkość pociągu osobowego. 105 km zajęło mu 2 h 6 min.

Teraz można obliczyć prędkość średnią pociągu pospiesznego:

1,75 h

t = 1 h 45 min

Poprzednie
Następne

Matematyka - wybrane pytania

Zadanie Test C. 11., strona 97, Matematyka. Klasa 8. Zbiór zadań - rozwiązania i odpowiedzi
Zadanie 9.22., strona 311, Prosto do matury 4. Zakres podstawowy i rozszerzony. Podręcznik - rozwiązania i odpowiedzi
Zadanie 42., strona 159, Matematyka z plusem. Klasa 2. Zbiór zadań. Zakres podstawowy i rozszerzony – rozwiązania i odpowiedzi
Zadanie 2, strona 48, Matematyka. Klasa 7. Zeszyt ćwiczeń - rozwiązania i odpowiedzi
Zadanie 40., strona 134, Nowa teraz matura 4. Poziom rozszerzony. Zbiór zadań - rozwiązania i odpowiedzi
Zadanie 6., strona 309, Matematyka wokół nas. Klasa 8. Podręcznik - rozwiązania i odpowiedzi
Zadanie 6, strona 265, Matematyka. Klasa 5. Podręcznik – rozwiązania i odpowiedzi
Zadanie 24, strona 176, Matematyka. Klasa 2. Podręcznik. Zakres rozszerzony – rozwiązania i odpowiedzi
Zadanie 10., strona 134, Matematyka z Plusem. Klasa 1. Podręcznik. Poziom rozszerzony – rozwiązania i odpowiedzi
Ćwiczenie 9, strona 207, Matematyka wokół nas. Klasa 4. Podręcznik - rozwiązania i odpowiedzi
REKLAMA
Skul
Zadania z tego działu
VI. Zestawy powtórzeniowe
95
1. Zestaw 1
95

Zadanie 1

95

Zadanie 2

95

Zadanie 3

95

Zadanie 4

95

Zadanie 5

95

Zadanie 6

95

Zadanie 7

95

Zadanie 8

96

Zadanie 9

96

Zadanie 10

96

Zadanie 11

96

Zadanie 12

96

Zadanie 13

96

Zadanie 14

97

Zadanie 15

97

Zadanie 16

97

Zadanie 17

97

Zadanie 18

98

Zadanie 19

98

Zadanie 20

98

Zadanie 21

99

Zadanie 22

99

Zadanie 23

99
2. Zestaw 2
100

Zadanie 1

100

Zadanie 2

100

Zadanie 3

100

Zadanie 4

100

Zadanie 5

101

Zadanie 6

101

Zadanie 7

101

Zadanie 8

101

Zadanie 9

101

Zadanie 10

101

Zadanie 11

101

Zadanie 12

101

Zadanie 13

102

Zadanie 14

102

Zadanie 15

102

Zadanie 16

102

Zadanie 17

102

Zadanie 18

102

Zadanie 19

103

Zadanie 20

103

Zadanie 21

103

Zadanie 22

103
Pełny spis treści
Skul
Artboard 1
Skul.pl
  • Napisz do nas
  • FAQ
  • Mapa Serwisu
  • Google Play
  • App Store

Korzystanie z portalu oznacza akceptację Regulaminu.
Polityka prywatności. Ustawienia preferencji. Copyright: INTERIA.PL 1999-2023 Wszystkie prawa zastrzeżone.