C.
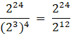
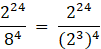
Potęgęw mianowniku zamień na potęgę liczby 2, wykorzystując wiedzę, że 8 to 2 do sześcianu.
W mianowniku pomnóż przez siebie potęgi, gdyż taka jest własność liczby podnoszonej do pewnej potęgi, a następnie znów do jakiejś potęgi.
Przypomnij sobie, że gdy dzielimy przez siebie potęgi o tej samej podstawie, to wykładniki odejmujemy od siebie.