Skul.pl
  • Opracowania zadań z podręczników
  • Matematyka z kluczem. Klasa 8. Zeszyt ćwiczeń - rozwiązania i odpowiedzi
  • Zadanie 21

Matematyka z kluczem. Klasa 8. Zeszyt ćwiczeń - rozwiązania i odpowiedzi

Zeszyt ćwiczeń, Wydawnictwo: Nowa Era
Poprzednie

Zadanie 21 - strona 99

Następne

Zadanie

W tym zadaniu musisz zapisać pole zacieniowanej figury w postaci jak najprostszej sumy algebraicznej.

Rozwiązanie

Skul

Wyjaśnienie

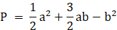
Pole zacieniowanej figury w prosty sposób obliczymy, odejmując od pola całego kwadratu pole białego trójkąta.

Pole kwadratu:

Pole trójkąta:

Pole zacieniowanej figury:

Poprzednie
Następne

Matematyka - wybrane pytania

Zadanie 28, strona 282, Matematyka. Klasa 6. Podręcznik - rozwiązania i odpowiedzi
Zadanie 22, strona 99, MATeMAtyka. Klasa 1. Zbiór zadań. Zakres podstawowy – rozwiązania i odpowiedzi
Ćwiczenie A, strona 160, Matematyka z plusem. Klasa 2. Podręcznik. Zakres rozszerzony – rozwiązania i odpowiedzi
Zadanie 3.5., strona 32, Prosto do matury. Klasa 4. Podręcznik. Zakres podstawowy - rozwiązania i odpowiedzi
Ćwiczenie sprawdzające II, strona 33, Matematyka z kluczem. Klasa 8. Podręcznik - rozwiązania i odpowiedzi
Ćwiczenie 6., strona 86, Matematyka z plusem. Klasa 5. Zeszyt ćwiczeń. Wersja C - rozwiązania i odpowiedzi
Zadanie 27., strona 72, MATeMAtyka. Klasa 1. Zbiór Zadań. Zakres podstawowy i rozszerzony – rozwiązania i odpowiedzi
Zadanie 10, strona 118, Matematyka z kluczem. Klasa 6. Podręcznik. Część 2 - rozwiązania i odpowiedzi
Przykład 2., strona 279, Matematyka z plusem. Klasa 3. Podręcznik. Zakres rozszerzony – rozwiązania i odpowiedzi
Ćwiczenie 3., strona 153, Matematyka. Klasa 4. Podręcznik. Zakres rozszerzony – rozwiązania i odpowiedzi
REKLAMA
Skul
Zadania z tego działu
VI. Zestawy powtórzeniowe
95
1. Zestaw 1
95

Zadanie 1

95

Zadanie 2

95

Zadanie 3

95

Zadanie 4

95

Zadanie 5

95

Zadanie 6

95

Zadanie 7

95

Zadanie 8

96

Zadanie 9

96

Zadanie 10

96

Zadanie 11

96

Zadanie 12

96

Zadanie 13

96

Zadanie 14

97

Zadanie 15

97

Zadanie 16

97

Zadanie 17

97

Zadanie 18

98

Zadanie 19

98

Zadanie 20

98

Zadanie 21

99

Zadanie 22

99

Zadanie 23

99
2. Zestaw 2
100

Zadanie 1

100

Zadanie 2

100

Zadanie 3

100

Zadanie 4

100

Zadanie 5

101

Zadanie 6

101

Zadanie 7

101

Zadanie 8

101

Zadanie 9

101

Zadanie 10

101

Zadanie 11

101

Zadanie 12

101

Zadanie 13

102

Zadanie 14

102

Zadanie 15

102

Zadanie 16

102

Zadanie 17

102

Zadanie 18

102

Zadanie 19

103

Zadanie 20

103

Zadanie 21

103

Zadanie 22

103
Pełny spis treści
Skul
Artboard 1
Skul.pl
  • Napisz do nas
  • FAQ
  • Mapa Serwisu
  • Google Play
  • App Store

Korzystanie z portalu oznacza akceptację Regulaminu.
Polityka prywatności. Ustawienia preferencji. Copyright: INTERIA.PL 1999-2023 Wszystkie prawa zastrzeżone.