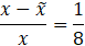
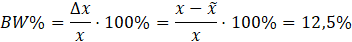
Wyznacz liczbę, której przybliżenie z niedomiarem wynosi 14, a błąd procentowy jest równy 12,5%.
Zauważ, że w tym przypadku przybliżona wartość
Zadanie 1.4.
7Zadanie 1.5.
7Zadanie 1.6.
8Zadanie 1.7.
8Zadanie 1.10.
8Zadanie 1.11.
8Zadanie 1.12.
8Zadanie 1.13.
9Zadanie 1.14.
9Zadanie 1.15.
9Zadanie 1.20.
10Zadanie 1.23.
10Zadanie 1.24.
11Zadanie 1.25.
11Zadanie 1.26.
11Zadanie 1.27.
11Zadanie 1.28.
11Zadanie 1.31.
11Zadanie 1.32.
12Zadanie 1.33.
12Zadanie 1.34.
12Zadanie 1.35.
12Zadanie 1.36.
12Zadanie 1.37.
12Zadanie 1.38.
13Zadanie 1.39.
13Zadanie 1.40.
13Zadanie 1.41.
13Zadanie 1.42.
13Zadanie 1.43.
14Zadanie 1.44.
14Zadanie 1.45.
14Zadanie 1.46.
14Zadanie 1.47.
14Zadanie 1.49.
15Zadanie 1.50.
15Zadanie 1.51.
15Zadanie 1.52.
15Zadanie 1.53.
15Zadanie 1.54.
15Zadanie 1.55.
15Zadanie 1.56.
16Zadanie 1.57.
16Zadanie 1.60.
16Zadanie 1.61.
16Zadanie 1.62.
16Zadanie 1.63.
16Zadanie 1.64.
17Zadanie 1.65.
17Zadanie 1.66.
17Zadanie 1.67.
17Zadanie 1.68
17Zadanie 1.69.
17Zadanie 1.70.
17Zadanie 1.71.
17Zadanie 1.72.
18Zadanie 1.75.
18Zadanie 1.76.
18Zadanie 1.79.
18Zadanie 1.81.
19Zadanie 1.82.
19Zadanie 1.83.
19Zadanie 1.84.
19Zadanie 1.85.
19Zadanie 1.86.
19Zadanie 1.87.
20Zadanie 1.88.
20Zadanie 1.89.
20Zadanie 1.90.
20Zadanie 1.91.
20Zadanie 1.92.
20Zadanie 1.93.
20Zadanie 1.96.
20Zadanie 1.102.
21Zadanie 1.103.
21Zadanie 1.104.
21Zadanie 1.105.
22Zadanie 1.106.
22Zadanie 1.107.
22Zadanie 1.108.
22Zadanie 1.109.
22Zadanie 1.110.
22Zadanie 1.111.
22Zadanie 1.112.
23Zadanie 1.113.
23Zadanie 1.114.
23Zadanie 1.115.
23Zadanie 1.116.
24Zadanie 1.117.
24Zadanie 1.118.
24Zadanie 1.119.
24Zadanie 1.120.
25Zadanie 1.121.
25Zadanie 1.124.
25Zadanie 1.125.
25Zadanie 1.126.
26Zadanie 1.127.
26Zadanie 1.128.
26Zadanie 1.129.
26Zadanie 1.130.
26Zadanie 1.131.
26Zadanie 1.132.
27Zadanie 1.133.
27Zadanie 1.134.
27Zadanie 1.135.
27Zadanie 1.136.
27Zadanie 1.137.
28Zadanie 1.138.
28Zadanie 1.139.
28Zadanie 1.140.
28Zadanie 1.141.
28Zadanie 1.142.
28Zadanie 1.160.
30Zadanie 1.161.
31Zadanie 1.162.
31Zadanie 1.164.
32Zadanie 1.165.
32Zadanie 1.168.
33Zadanie 1.169.
33Zadanie 1.171.
34Zadanie 1.172.
34Zadanie 1.173.
34Zadanie 1.174.
34Zadanie 1.175.
34Zadanie 1.176.
34Zadanie 1.179.
35Zadanie 1.180.
35Zadanie 1.181.
35Zadanie 1.182.
35Zadanie 1.186.
36Zadanie 1.187.
36Zadanie 1.188.
36Zadanie 1.189.
36Zadanie 1.190.
37Zadanie 1.191.
37Zadanie 1.192.
37Zadanie 17.
39Zadanie 18.
39Zadanie 19.
39Zadanie 20.
39Zadanie 21.
39Zadanie 22.
40Zadanie 25.
40Zadanie 27.
40Zadanie 28.
40Zadanie 29.
40Zadanie 30.
40Zadanie 36.
41Zadanie 38.
42