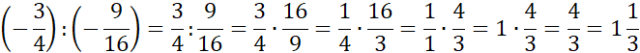
W tym zadaniu musisz rozwiązać podany przykład zawierający ułamki. Pamiętaj przede wszystkim, że iloczyn lub iloraz dwóch liczb ujemnych daje wynik dodatni oraz o tym, że, aby podzielić przez ułamek, należy pomnożyć przez jego odwrotność.
Ćwiczenie 1
10Zadanie 3
12Zadanie 4
12Zadanie 5
12Zadanie 6
12Zadanie 7
12Zadanie 8
13Zadanie 9
13Zadanie 12
13Ćwiczenie II
14Ćwiczenie III
14Zadanie 1
14Zadanie 3
19Zadanie 5
19Zadanie 7
19Zadanie 8
19Zadanie 11
20Ćwiczenie 2
21Ćwiczenie I
21Ćwiczenie II
21Ćwiczenie 1
25Zadanie 1
25Zadanie 1 poziom C
25Zadanie 5
26Zadanie 8
27Zadanie 9
27Zadanie 11
27Ćwiczenie I
28Ćwiczenie IV
28Zadanie 1 poziom A
33Zadanie 1 poziom B
33Zadanie 1 poziom C
33Zadanie 1 poziom D
33Zadanie 1 poziom E
33Zadanie 1 poziom MISTRZ
33Zadanie 2
33Zadanie 3
33Zadanie 6
34Zadanie 10
34Ćwiczenie 1
35Ćwiczenie 2
35Ćwiczenie II
35Ćwiczenie III
35Zadanie 1 poziom A
41Zadanie 1 poziom B
41Zadanie 1 poziom C
41Zadanie 3
41Zadanie 7
42Zadanie 8
42Zadanie 9
42Zadanie 10
43Ćwiczenie 1
43Ćwiczenie 2
43Zadanie 2
44Zadanie 3
44Zadanie 4
44Zadanie 5
44Zadanie 7
45Zadanie 8
45Zadanie 9
45Zadanie 10
45Zadanie 12
45Zadanie 14
45Zadanie 15
45Zadanie 2
49Zadanie 3
49Zadanie 4
49Zadanie 5
50Zadanie 6
50Zadanie 7
50Zadanie 10
50