Wzór na pole trójkąta to:
, gdzie a to podstawa, h to wysokość opuszczona na tę podstawę.
Podstawa EF ma 10 cm.
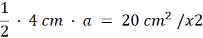
Masz dane pole oraz wysokość. Oblicz długość podstawy.
a = ?
h = 4 cm
Wstaw 4 cm w miejsce h.
a = 10 cm
Ćwiczenie Ćwiczenie.
Zadanie 1.
Podpunkt a)
Podpunkt b)
Podpunkt c)
Podpunkt d)
Podpunkt e)
Podpunkt f)
Zadanie 2.
Zadanie 3.
Zadanie 4.
Zadanie 5.
Zadanie 6.
Zadanie 7.
Zadanie 8.
Zadanie 9.
Zadanie 10.
Zadanie 11.
Zadanie 12
Zadanie 13.
Zadanie Super zagadka
Ćwiczenie Ćwiczenie A.
Ćwiczenie Ćwiczenie B.
Ćwiczenie Ćwiczenie C.
Ćwiczenie Ćwiczenie D.
Zadanie W krainie łamigłówek 11
Zadanie W krainie łamigłówek 12.
Zadanie Wstępne