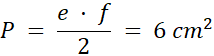
Wzór na pole rombu to:
, gdzie e i f to przekątne rombu.
Masz dane pole i długość jednej przekątnej. Rozwiąż zadanie.
Druga przekątna ma długość 2 cm.
e = 6 cm
Podstaw 6 cm w miejsce e.
Skoro 6 to połowa iloczynu przekątnych, to 12 będzie równe iloczynowi przekątnych.
Zastanów się, jaka liczba razy 6 daje 12.
Ćwiczenie Ćwiczenie.
Zadanie 1.
Podpunkt a)
Podpunkt b)
Podpunkt c)
Podpunkt d)
Podpunkt e)
Podpunkt f)
Zadanie 2.
Zadanie 3.
Zadanie 4.
Zadanie 5.
Zadanie 6.
Zadanie 7.
Zadanie 8.
Zadanie 9.
Zadanie 10.
Zadanie 11.
Zadanie 12
Zadanie 13.
Zadanie Super zagadka
Ćwiczenie Ćwiczenie A.
Ćwiczenie Ćwiczenie B.
Ćwiczenie Ćwiczenie C.
Ćwiczenie Ćwiczenie D.
Zadanie W krainie łamigłówek 11
Zadanie W krainie łamigłówek 12.
Zadanie Wstępne