Zamień hektary na metry kwadratowe, wynik pomnóż przez 10 g. Potem zamień wynik na tony.
Potrzeba 0,15 tony.
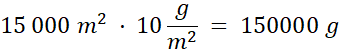
1,5 ha = 15 000 m2
Teraz oblicz, ile gram trzeba zużyć na użyźnienie pola.
150 000 g = 150 kg = 0,15 t
Ćwiczenie Ćwiczenie.
Zadanie 1.
Podpunkt a)
Podpunkt b)
Podpunkt c)
Podpunkt d)
Podpunkt e)
Podpunkt f)
Zadanie 2.
Zadanie 3.
Zadanie 4.
Zadanie 5.
Zadanie 6.
Zadanie 7.
Zadanie 8.
Zadanie 9.
Zadanie 10.
Zadanie 11.
Zadanie 12
Zadanie 13.
Zadanie Super zagadka
Ćwiczenie Ćwiczenie A.
Ćwiczenie Ćwiczenie B.
Ćwiczenie Ćwiczenie C.
Ćwiczenie Ćwiczenie D.
Zadanie W krainie łamigłówek 11
Zadanie W krainie łamigłówek 12.
Zadanie Wstępne