Okno ma kształt prostokąta. Oblicz powierzchnię okna i pomnóż wynik przez 6. Następnie oblicz cenę. Zwróć uwagę na jednostki.
Wzór na pole prostokąta to: , gdzie a, b – długości boków prostokąta.
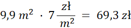
Państwo zapłacą 69,30 zł.
a = 110 cm = 1,1 m
b = 150 cm = 1,5 m
Teraz trzeba obliczyć powierzchnię 6 okien.
1 m2 kosztuje 7 zł.
Ćwiczenie Ćwiczenie.
Zadanie 1.
Podpunkt a)
Podpunkt b)
Podpunkt c)
Podpunkt d)
Podpunkt e)
Podpunkt f)
Zadanie 2.
Zadanie 3.
Zadanie 4.
Zadanie 5.
Zadanie 6.
Zadanie 7.
Zadanie 8.
Zadanie 9.
Zadanie 10.
Zadanie 11.
Zadanie 12
Zadanie 13.
Zadanie Super zagadka
Ćwiczenie Ćwiczenie A.
Ćwiczenie Ćwiczenie B.
Ćwiczenie Ćwiczenie C.
Ćwiczenie Ćwiczenie D.
Zadanie W krainie łamigłówek 11
Zadanie W krainie łamigłówek 12.
Zadanie Wstępne