Gospodarz sprzedał łąkę za 280 tys. zł.
2,4 ha = 240 a
240 a : 20 a = 12
Było 12 działek.
4 działki po 15 zł za 1 m2:
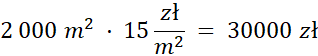
1 taka działka miała 20 arów, czyli 2000 m2.
Sprzedał po 15 zł za 1 m2 i na jednej działce zarobił:
Były 4 działki, więc:
8 działek po 10 zł za 1 m2:
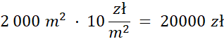
1 taka działka miała 20 arów, czyli 2000 m2
Sprzedał po 10 zł za 1 m2 i na jednej działce zarobił:
Było 8 działek, więc:
W sumie uzyskał: