Podane jest, że w loterii jest 20 losów, z czego 5 jest wygrywających, a 15 przegrywających. Spośród pierwszych trzech osób, jedna wylosowała los wygrywający, a dwie pozostałe losy przegrywające. Pytanie brzmi, jakie jest prawdopodobieństwo, że czwarta osoba, kupująca los, trafi na los wygrywający. Proszę wybrać jedną z podanych odpowiedzi:
20 – 3 =17 losów, a 4 są wygrywające. Stosunek tych liczb to szukane prawdopodobieństwo.
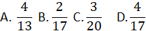
4 – wygrywające
Stosunek tych liczb to szukane prawdopodobieństwo -
Teraz w loterii jest 20 - 3 = 17 losów. Są 4 wygrywające i 13 przegrywających, więc szansa na
Ćwiczenie A
289Zadanie 1
290Zadanie 2
291Zadanie 3
291Zadanie 4
292Zadanie 5
292Zadanie 6
293Zadanie 7
293Zadanie 8
294Zadanie 9
294Zadanie 11
295Zadanie 12
296Zadanie 13
296Zadanie 15
297Ćwiczenie A
299Zadanie 5
296Zadanie 7
300Zadanie 12
301Zadanie 13
301Zadanie 5
306Zadanie 7.
307Zadanie 8.
307Zadanie 9.
307Ćwiczenie A
307Ćwiczenie D
310Zadanie 1
310Zadanie 2
311Zadanie 3
311Zadanie 5
311Zadanie 6
311Zadanie 10
312Zadanie 13
312Zadanie 14
313Zadanie 1
314Zadanie 2
314Zadanie 5
315Zadanie 1
316Zadanie 2
316Zadanie 3
316Zadanie 6
317Zadanie 9
315Zadanie 13
318Zadanie 14
315Zadanie 15
318Zadanie 17
318