Ania ma sześć półek, na których trzyma wszystkie swoje książki. Na każdej półce jest średnio 20 książek. Oblicz, jak zmieni się średnia ilość książek na półce, gdy Ania:
Dołoży na każdą półkę po jednej książce?
Średnio będzie 21 książek na każdej półce.
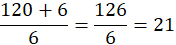
Książek w sumie jest 120 (6 półek średnio po 20). Jeśli na każdą z 6 półek Ania dołoży po jednej książce, to średnia wyniesie:
Średnio będzie 21 książek na każdej półce.
Ćwiczenie A
289Zadanie 1
290Zadanie 2
291Zadanie 3
291Zadanie 4
292Zadanie 5
292Zadanie 6
293Zadanie 7
293Zadanie 8
294Zadanie 9
294Zadanie 11
295Zadanie 12
296Zadanie 13
296Zadanie 15
297Ćwiczenie A
299Zadanie 5
296Zadanie 7
300Zadanie 12
301Zadanie 13
301Zadanie 5
306Zadanie 7.
307Zadanie 8.
307Zadanie 9.
307Ćwiczenie A
307Ćwiczenie D
310Zadanie 1
310Zadanie 2
311Zadanie 3
311Zadanie 5
311Zadanie 6
311Zadanie 10
312Zadanie 13
312Zadanie 14
313Zadanie 1
314Zadanie 2
314Zadanie 5
315Zadanie 1
316Zadanie 2
316Zadanie 3
316Zadanie 6
317Zadanie 9
315Zadanie 13
318Zadanie 14
315Zadanie 15
318Zadanie 17
318