Odpowiedz, w jaki sposób i o ile zmieni się średnia twoich ocen z 10 przedmiotów, gdy:
Każdą ocenę poprawisz o jeden stopień.
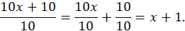
Niech x to będzie dotychczasowa średnia. Wtedy zmianę średniej opisuje wyrażenie:
Średnia wzrośnie o ocenę.
Ćwiczenie A
289Zadanie 1
290Zadanie 2
291Zadanie 3
291Zadanie 4
292Zadanie 5
292Zadanie 6
293Zadanie 7
293Zadanie 8
294Zadanie 9
294Zadanie 11
295Zadanie 12
296Zadanie 13
296Zadanie 15
297Ćwiczenie A
299Zadanie 5
296Zadanie 7
300Zadanie 12
301Zadanie 13
301Zadanie 5
306Zadanie 7.
307Zadanie 8.
307Zadanie 9.
307Ćwiczenie A
307Ćwiczenie D
310Zadanie 1
310Zadanie 2
311Zadanie 3
311Zadanie 5
311Zadanie 6
311Zadanie 10
312Zadanie 13
312Zadanie 14
313Zadanie 1
314Zadanie 2
314Zadanie 5
315Zadanie 1
316Zadanie 2
316Zadanie 3
316Zadanie 6
317Zadanie 9
315Zadanie 13
318Zadanie 14
315Zadanie 15
318Zadanie 17
318