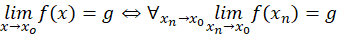
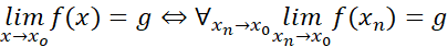
Należy obliczyć granicę funkcji, korzystając z definicji Heinego.
Funkcja
Funkcja
Zadanie 6.1.
140Zadanie 6.2.
140Zadanie 6.3.
140Zadanie 6.4.
140Zadanie 6.5.
141Zadanie 6.6.
141Zadanie 6.7.
142Zadanie 6.8.
142Zadanie 6.9.
142Zadanie 6.10.
143Zadanie 6.11.
143Zadanie 6.12.
143Zadanie 6.13.
143Zadanie 6.14.
143Zadanie 6.16.
144Zadanie 6.17.
144Zadanie 6.18.
144Zadanie 6.19.
145Zadanie 6.20.
145Zadanie 6.21.
146Zadanie 6.22.
146Zadanie 6.23.
146Zadanie 6.24.
146Zadanie 6.25.
147Zadanie 6.26.
147Zadanie 6.27.
147Zadanie 6.28.
147Zadanie 6.29.
147Zadanie 6.30.
148Zadanie 6.31.
148Zadanie 6.32.
148Zadanie 6.33.
148Zadanie 6.34.
148Zadanie 6.35.
148Zadanie 6.36.
148Zadanie 6.37.
149Zadanie 6.38.
150Zadanie 6.42.
151Zadanie 6.57.
153Zadanie 6.58.
153Zadanie 6.59.
153Zadanie 6.64.
154Zadanie 6.65.
154Zadanie 6.66.
154Zadanie 6.67.
155Zadanie 6.68.
155Zadanie 6.69.
155Zadanie 6.70.
155Zadanie 6.71.
156Zadanie 6.72.
156Zadanie 6.73.
156Zadanie 6.74.
157Zadanie 6.75.
157Zadanie 6.76.
157Zadanie 6.77.
157Zadanie 6.78.
157Zadanie 6.79.
158Zadanie 6.80.
158Zadanie 6.81.
158Zadanie 6.82.
158Zadanie 6.83.
159Zadanie 6.84.
159Zadanie 6.85.
159Zadanie 6.89.
159Zadanie 6.94.
160Zadanie 6.95.
160Zadanie 6.96.
160Zadanie 6.97.
161Zadanie 6.98.
161Zadanie 6.99.
161Zadanie 6.100.
161Zadanie 6.101.
161Zadanie 6.102.
161Zadanie 6.103.
162Zadanie 6.104.
162Zadanie 6.105.
162Zadanie 6.106.
162Zadanie 6.111.
163Zadanie 6.112.
163Zadanie 6.113.
163Zadanie 6.114.
163Zadanie 6.115.
164Zadanie 6.116.
164Zadanie 6.123.
165Zadanie 6.124.
165Zadanie 6.125.
165Zadanie 6.128.
165Zadanie 6.21.
170Zadanie 6.22.
170Zadanie 6.23.
170Zadanie 6.24.
170Zadanie 6.26.
170Zadanie 6.27.
171Zadanie 6.30.
172Zadanie 6.32.
172Zadanie 6.33.
172Zadanie 6.34.
172Zadanie 6.35.
173Zadanie 6.39.
173Zadanie 6.40.
173