Zadania z tego działu
6. Elementy analizy matematycznej
140
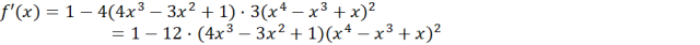
6.15. Największa i najmniejsza wartość funkcji w przedziale.
163