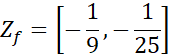
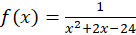
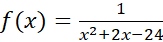
Należy wyznaczyć zbiór wartości funkcji
W celu wyznaczenia zbioru wartości tej konkretnej funkcji należy zbadać najmniejszą i największą wartość dziedziny oraz wartość x wierzchołka paraboli będącej mianownikiem
Zadanie 6.1.
142Zadanie 6.2.
142Zadanie 6.3.
142Zadanie 6.4.
142Zadanie 6.5.
143Zadanie 6.6.
143Zadanie 6.7.
144Zadanie 6.8.
144Zadanie 6.9.
144Zadanie 6.10.
145Zadanie 6.11.
145Zadanie 6.12.
145Zadanie 6.13.
145Zadanie 6.14.
145Zadanie 6.16.
146Zadanie 6.17.
146Zadanie 6.18.
146Zadanie 6.19.
147Zadanie 6.20.
147Zadanie 6.21.
148Zadanie 6.22.
148Zadanie 6.23.
148Zadanie 6.24.
148Zadanie 6.25.
149Zadanie 6.26.
149Zadanie 6.27.
149Zadanie 6.28.
149Zadanie 6.29.
149Zadanie 6.30.
150Zadanie 6.31.
150Zadanie 6.32.
150Zadanie 6.33.
150Zadanie 6.34.
150Zadanie 6.35.
151Zadanie 6.36.
151Zadanie 6.37.
151Zadanie 6.38.
152Zadanie 6.42.
153Zadanie 6.57.
155Zadanie 6.58.
155Zadanie 6.59.
155Zadanie 6.64.
156Zadanie 6.65.
156Zadanie 6.66.
156Zadanie 6.67.
157Zadanie 6.68.
157Zadanie 6.69.
157Zadanie 6.70.
157Zadanie 6.71.
158Zadanie 6.72.
158Zadanie 6.73.
158Zadanie 6.74.
159Zadanie 6.75.
159Zadanie 6.76.
159Zadanie 6.77.
159Zadanie 6.78.
159Zadanie 6.79.
160Zadanie 6.80.
160Zadanie 6.81.
160Zadanie 6.82.
160Zadanie 6.83.
161Zadanie 6.84.
161Zadanie 6.85.
161Zadanie 6.89.
161Zadanie 6.94.
162Zadanie 6.95.
162Zadanie 6.96.
162Zadanie 6.97.
163Zadanie 6.98.
163Zadanie 6.99.
163Zadanie 6.100.
163Zadanie 6.101.
163Zadanie 6.102.
163Zadanie 6.103.
164Zadanie 6.104.
164Zadanie 6.105.
164Zadanie 6.106.
164Zadanie 6.111.
165Zadanie 6.112.
165Zadanie 6.113.
165Zadanie 6.114.
165Zadanie 6.115.
166Zadanie 6.116.
166Zadanie 6.123.
167Zadanie 6.124.
167Zadanie 6.125.
167Zadanie 6.128.
167Zadanie 6.21.
172Zadanie 6.22.
172Zadanie 6.23.
172Zadanie 6.24.
172Zadanie 6.26.
173Zadanie 6.27.
173Zadanie 6.30.
174Zadanie 6.32.
174Zadanie 6.33.
174Zadanie 6.34.
174Zadanie 6.35.
175Zadanie 6.39.
175Zadanie 6.40.
175