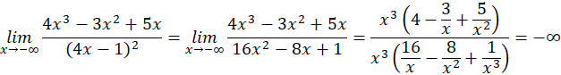
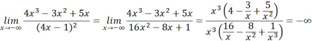
Należy wyznaczyć granicę
Wartość
Zadanie 6.1.
142Zadanie 6.2.
142Zadanie 6.3.
142Zadanie 6.4.
142Zadanie 6.5.
143Zadanie 6.6.
143Zadanie 6.7.
144Zadanie 6.8.
144Zadanie 6.9.
144Zadanie 6.10.
145Zadanie 6.11.
145Zadanie 6.12.
145Zadanie 6.13.
145Zadanie 6.14.
145Zadanie 6.16.
146Zadanie 6.17.
146Zadanie 6.18.
146Zadanie 6.19.
147Zadanie 6.20.
147Zadanie 6.21.
148Zadanie 6.22.
148Zadanie 6.23.
148Zadanie 6.24.
148Zadanie 6.25.
149Zadanie 6.26.
149Zadanie 6.27.
149Zadanie 6.28.
149Zadanie 6.29.
149Zadanie 6.30.
150Zadanie 6.31.
150Zadanie 6.32.
150Zadanie 6.33.
150Zadanie 6.34.
150Zadanie 6.35.
151Zadanie 6.36.
151Zadanie 6.37.
151Zadanie 6.38.
152Zadanie 6.42.
153Zadanie 6.57.
155Zadanie 6.58.
155Zadanie 6.59.
155Zadanie 6.64.
156Zadanie 6.65.
156Zadanie 6.66.
156Zadanie 6.67.
157Zadanie 6.68.
157Zadanie 6.69.
157Zadanie 6.70.
157Zadanie 6.71.
158Zadanie 6.72.
158Zadanie 6.73.
158Zadanie 6.74.
159Zadanie 6.75.
159Zadanie 6.76.
159Zadanie 6.77.
159Zadanie 6.78.
159Zadanie 6.79.
160Zadanie 6.80.
160Zadanie 6.81.
160Zadanie 6.82.
160Zadanie 6.83.
161Zadanie 6.84.
161Zadanie 6.85.
161Zadanie 6.89.
161Zadanie 6.94.
162Zadanie 6.95.
162Zadanie 6.96.
162Zadanie 6.97.
163Zadanie 6.98.
163Zadanie 6.99.
163Zadanie 6.100.
163Zadanie 6.101.
163Zadanie 6.102.
163Zadanie 6.103.
164Zadanie 6.104.
164Zadanie 6.105.
164Zadanie 6.106.
164Zadanie 6.111.
165Zadanie 6.112.
165Zadanie 6.113.
165Zadanie 6.114.
165Zadanie 6.115.
166Zadanie 6.116.
166Zadanie 6.123.
167Zadanie 6.124.
167Zadanie 6.125.
167Zadanie 6.128.
167Zadanie 6.21.
172Zadanie 6.22.
172Zadanie 6.23.
172Zadanie 6.24.
172Zadanie 6.26.
173Zadanie 6.27.
173Zadanie 6.30.
174Zadanie 6.32.
174Zadanie 6.33.
174Zadanie 6.34.
174Zadanie 6.35.
175Zadanie 6.39.
175Zadanie 6.40.
175