Zadanie

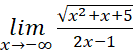
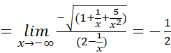
Należy obliczyć granicę.

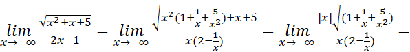
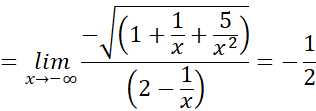
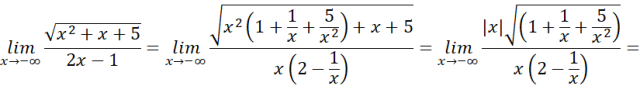
Rozwiązanie

Wyjaśnienie

Zadania z tego działu
6. Elementy analizy matematycznej
140
6.15. Największa i najmniejsza wartość funkcji w przedziale.
163