Wykonaj obliczenia, popatrz na poprzednie zadanie i w podobny sposób zapisz liczby obok strzałek.
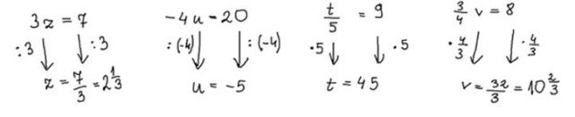
Wykonaj takie działania, by po lewej stronie została sama niewiadoma. Pierwsze równanie: podziel obie strony równania przez 3. Drugie równanie: podziel obie strony równania przez -4. Trzecie równanie: Pomnóż obie strony równania przez 5. Czwarte równanie: Pomnóż obie strony równania przez
.
Zadanie 6.
40Zadanie 7.
40Zadanie 8.
40Zadanie 9.
41Zadanie 10.
41Zadanie 12.
41Zadanie 13.
41Zadanie 14.
42Zadanie 15.
42Zadanie 16.
42Zadanie 17.
43Zadanie 19.
43Zadanie 20.
43Zadanie 2.
44Zadanie 3.
44Zadanie 5.
45Zadanie 7.
45Zadanie 1.
46Zadanie 2.
46Zadanie 5.
46Zadanie 6.
47Zadanie 10.
48Zadanie 11.
48Zadanie 13.
49Zadanie 4.
51Zadanie 5.
51Zadanie 4.
52Zadanie 5.
52Zadanie 9.
53Zadanie 2.
54Zadanie 3.
54Zadanie 9.
55Zadanie 12.
56Zadanie 14.
57Zadanie 2.
62Zadanie 3.
62Zadanie 4.
62Zadanie 5.
63Zadanie 6.
63