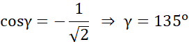
Oblicz miarę największego kąta w trójkącie ABC.
Z tw. cosinusów:
Suma kątów w trójkącie wynosi
Zadanie 8.1.
200Zadanie 8.2.
200Zadanie 8.3.
200Zadanie 8.4.
200Zadanie 8.5.
200Zadanie 8.6.
200Zadanie 8.8.
200Zadanie 8.9.
201Zadanie 8.10.
201Zadanie 8.14.
201Zadanie 8.18.
202Zadanie 8.19.
202Zadanie 8.20.
202Zadanie 8.21.
202Zadanie 8.22.
202Zadanie 8.23.
202Zadanie 8.24.
202Zadanie 8.29.
203Zadanie 8.30.
203Zadanie 8.31.
203Zadanie 8.32.
203Zadanie 8.33.
203Zadanie 8.34.
203Zadanie 8.35.
204Zadanie 8.36.
204Zadanie 8.37.
204Zadanie 8.38.
204Zadanie 8.40.
204Zadanie 8.41.
204Zadanie 8.42.
204Zadanie 8.44.
204Zadanie 8.45.
205Zadanie 8.46.
205Zadanie 8.47.
205Zadanie 8.48.
205Zadanie 8.49.
205Zadanie 8.50.
205Zadanie 8.53.
205Zadanie 8.55.
206Zadanie 8.56.
206Zadanie 8.63.
206Zadanie 8.64.
206Zadanie 8.65.
207Zadanie 8.72.
207Zadanie 8.73.
207Zadanie 8.74.
207Zadanie 8.75.
207Zadanie 8.78.
208Zadanie 8.79.
208Zadanie 8.80.
208Zadanie 8.81.
208Zadanie 8.82.
208Zadanie 8.83.
208Zadanie 8.84.
208Zadanie 8.85.
209Zadanie 8.86.
209Zadanie 8.87.
209Zadanie 8.88.
209Zadanie 8.89.
209Zadanie 8.90.
209Zadanie 8.91.
209Zadanie 8.92.
210Zadanie 8.95.
210Zadanie 8.99.
210Zadanie 8.100.
211Zadanie 8.113.
212Zadanie 8.114.
212Zadanie 8.115.
212Zadanie 8.116.
212Zadanie 8.117.
212Zadanie 8.124.
213Zadanie 8.131.
213Zadanie 8.132.
214Zadanie 8.136.
214Zadanie 8.138.
214Zadanie 8.140.
215Zadanie 8.143.
215Zadanie 8.144.
215Zadanie 8.145.
215Zadanie 8.146.
215Zadanie 8.147.
216Zadanie 8.149.
216Zadanie 8.151.
216Zadanie 8.152.
216Zadanie 8.153.
216Zadanie 8.154.
216Zadanie 8.155.
216Zadanie 8.156.
217Zadanie 8.157.
217Zadanie 8.158.
217Zadanie 8.159.
217Zadanie 8.160.
217Zadanie 8.161.
217Zadanie 8.162.
218Zadanie 8.163.
218Zadanie 8.164.
218Zadanie 8.165.
218Zadanie 8.166.
218Zadanie 8.167.
218Zadanie 8.168.
218Zadanie 8.169.
219Zadanie 8.170.
219Zadanie 8.171.
219Zadanie 8.172.
219Zadanie 8.175.
219Zadanie 8.176.
220Zadanie 8.12.
222Zadanie 8.16.
223Zadanie 8.17.
223Zadanie 8.21.
223Zadanie 8.22.
223Zadanie 8.27.
224Zadanie 8.28.
224Zadanie 8.36.
225