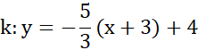
Należy wyznaczyć równanie ogólne prostej k.
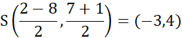
Współczynnik kierunkowy prostej AB:
W przypadku symetrii osiowej względem osi OX zmieniamy współrzędną x-ową na przeciwną. Analogicznie, w przypadku symetrii osiowej względem osi OY zmieniamy współrzędną y-ową na przeciwną.
Zadanie 8.1.
200Zadanie 8.2.
200Zadanie 8.3.
200Zadanie 8.4.
200Zadanie 8.5.
200Zadanie 8.6.
200Zadanie 8.8.
200Zadanie 8.9.
201Zadanie 8.10.
201Zadanie 8.14.
201Zadanie 8.18.
202Zadanie 8.19.
202Zadanie 8.20.
202Zadanie 8.21.
202Zadanie 8.22.
202Zadanie 8.23.
202Zadanie 8.24.
202Zadanie 8.29.
203Zadanie 8.30.
203Zadanie 8.31.
203Zadanie 8.32.
203Zadanie 8.33.
203Zadanie 8.34.
203Zadanie 8.35.
204Zadanie 8.36.
204Zadanie 8.37.
204Zadanie 8.38.
204Zadanie 8.40.
204Zadanie 8.41.
204Zadanie 8.42.
204Zadanie 8.44.
204Zadanie 8.45.
205Zadanie 8.46.
205Zadanie 8.47.
205Zadanie 8.48.
205Zadanie 8.49.
205Zadanie 8.50.
205Zadanie 8.53.
205Zadanie 8.55.
206Zadanie 8.56.
206Zadanie 8.63.
206Zadanie 8.64.
206Zadanie 8.65.
207Zadanie 8.72.
207Zadanie 8.73.
207Zadanie 8.74.
207Zadanie 8.75.
207Zadanie 8.78.
208Zadanie 8.79.
208Zadanie 8.80.
208Zadanie 8.81.
208Zadanie 8.82.
208Zadanie 8.83.
208Zadanie 8.84.
208Zadanie 8.85.
209Zadanie 8.86.
209Zadanie 8.87.
209Zadanie 8.88.
209Zadanie 8.89.
209Zadanie 8.90.
209Zadanie 8.91.
209Zadanie 8.92.
210Zadanie 8.95.
210Zadanie 8.99.
210Zadanie 8.100.
211Zadanie 8.113.
212Zadanie 8.114.
212Zadanie 8.115.
212Zadanie 8.116.
212Zadanie 8.117.
212Zadanie 8.124.
213Zadanie 8.131.
213Zadanie 8.132.
214Zadanie 8.136.
214Zadanie 8.138.
214Zadanie 8.140.
215Zadanie 8.143.
215Zadanie 8.144.
215Zadanie 8.145.
215Zadanie 8.146.
215Zadanie 8.147.
216Zadanie 8.149.
216Zadanie 8.151.
216Zadanie 8.152.
216Zadanie 8.153.
216Zadanie 8.154.
216Zadanie 8.155.
216Zadanie 8.156.
217Zadanie 8.157.
217Zadanie 8.158.
217Zadanie 8.159.
217Zadanie 8.160.
217Zadanie 8.161.
217Zadanie 8.162.
218Zadanie 8.163.
218Zadanie 8.164.
218Zadanie 8.165.
218Zadanie 8.166.
218Zadanie 8.167.
218Zadanie 8.168.
218Zadanie 8.169.
219Zadanie 8.170.
219Zadanie 8.171.
219Zadanie 8.172.
219Zadanie 8.175.
219Zadanie 8.176.
220Zadanie 8.12.
222Zadanie 8.16.
223Zadanie 8.17.
223Zadanie 8.21.
223Zadanie 8.22.
223Zadanie 8.27.
224Zadanie 8.28.
224Zadanie 8.36.
225