1. W pierwszej kolejności należy zapisać równania zachodzących reakcji. Należy pamiętać o wprowadzeniu odpowiednich niewiadomych, co w kolejnych etapach ułatwi obliczenie liczby moli konkretnych reagentów:
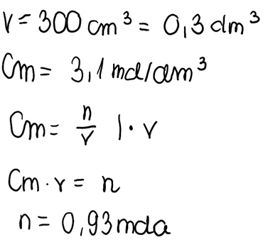
2. Należy z przekształconego wzoru na stężenie molowe, korzystając z danych zawartych w treści zadania, obliczyć liczbę moli wodorotlenku potasu, a co za tym idzie- jonów OH-:
3. Znając liczbę moli anionów wodorotlenkowych oraz masy 1 mola obu wodorotlenków będących osadami, sporządzamy układ równań:
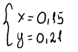
4. Obliczamy niewiadome x i y:
5. Obliczamy masy poszczególnych jonów, znając ich liczby moli i masę żelaza:
6. Znając wzór na stężenie procentowe, obliczamy stężenia poszczególnych jonów w roztworze: