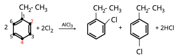
Zwróć uwagę na warunki reakcji. Użycie katalizatora, tu chlorku glinu, umożliwia wymianę atomu wodoru w pierścieniu benzenu. Reakcja zachodzi zgodnie z mechanizmem substytucji elektrofilowej. Produktami głównymi są orto-chloroetylobenzen para-chloroetylobenzen (2-chloroetylobenzen i 4-chloroetypobenzen). Podstawnik etylowy to tzw. podstawnik I rodzaju, który kieruje pozostałe podstawniki właśnie w pozycję orto i para. Reakcja zachodzi zgodnie z równaniem: