Zadanie

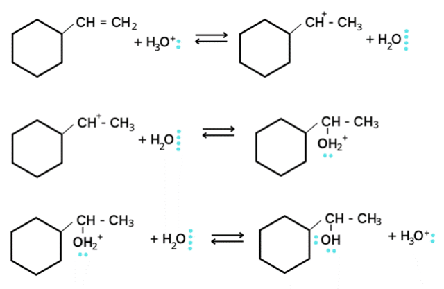
Chloropochodna alkanu z ilustracji ulega eliminacji i przekształca się w alken – dzieje się to w obecności KOH i alkoholu oraz w podwyższonej temperaturze. Alken ten ulega hydratacji do alkoholu w obecności kwasu. W jakich mechanizmach przebiega hydratacja alkenu?

Rozwiązanie

Wyjaśnienie

Zadania z tego działu
Węglowodory
9
1. Skład związków organicznych
10
2. Budowa związków organicznych. Izomeria
15
3. Właściwości związków organicznych
20
5. Właściwości alkanów
33
7. Otrzymywanie i właściwości alkenów
50
8. Addycja elektrofilowa
59
13. Homologi benzenu. Reguła podstawników
101
14. Węglowodory w przyrodzie
107