Homologi to związki organiczne, które należą do tego samego szeregu homologicznego i które spełniają taki sam wzór ogólny, ale różnią się ilością fragmentów -CH2- w cząsteczce.
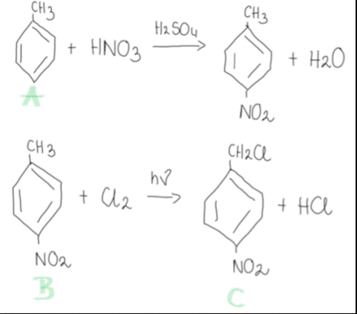
Podstawniki w pierścieniu aromatycznym mogą decydować o tym, gdzie zostanie podłączony kolejny podstawnik po reakcji substytucji elektrofilowej. W związku z tym, podstawniki dzielimy na dwie grupy:
a) podstawniki I-rodzaju à kierują nowe podstawniki w pozycji 2, 4 lub 6 (pozycje orto- lub para-). Należą do nich grupy alkilowe, grupa aminowa, grupa hydroksylowa oraz wszelkie fluorowce;
b) podstawniki II-rodzaju à kierują nowe podstawniki w pozycje 3 lub 5
(pozycje meta-). Należą do nich grupa nitrowa, grupa karboksylowa oraz grupa nitrylowa.