Skul.pl
  • Opracowania zadań z podręczników
  • Matura z chemii. Formuła 2015. Poziom rozszerzony. Maj 2022
  • Podpunkt 12.1

Matura z chemii. Formuła 2015. Poziom rozszerzony. Maj 2022

Arkusz egzaminacyjny, Wydawnictwo: CKE
Poprzednie

Zadanie 12, 12.1 - strona 10

Następne

Zadanie

W formie jonowej skróconej zapisz równanie reakcji zachodzącej w probówce I po dodaniu wybranego odczynnika do roztworu soli chromu (VI) oraz napisz nazwę lub wzór odczynnika, który dodano do probówki II w opisanym doświadczeniu.

Rozwiązanie

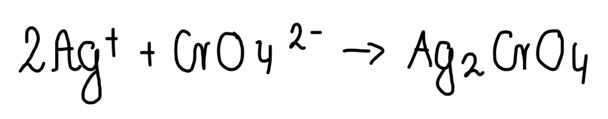
Równanie reakcji zachodzącej w probówce I:

Nazwa lub wzór odczynnika dodanego do probówki II:

Wodny roztwór wodorotlenku potasu

ALBO

Wodorotlenek potasu

ALBO

KOH(aq)

ALBO

KOH

Skul
Poprzednie
Następne

Chemia - wybrane pytania

Zadanie 5.4.49., strona 91, Chemia. Klasa 7,8. Zbiór zadań- rozwiązania i odpowiedzi
Zadanie 19, strona 233, Chemia. Klasa 3. Podręcznik. Zakres podstawowy – rozwiązania i odpowiedzi
Ćwiczenie 1., strona 141, Chemia Nowej Ery. Klasa 8. Podręcznik- rozwiązania i odpowiedzi
Ćwiczenie 2., strona 56, Świat chemii. Klasa 8. Podręcznik – rozwiązania i odpowiedzi
Zadanie 2., strona 35, Chemia. Klasa 1. Podręcznik. Zakres rozszerzony - rozwiązania i odpowiedzi
Ćwiczenie 10., strona 38, Chemia. Klasa 8. Zeszyt ćwiczeń – rozwiązania i odpowiedzi
Zadanie zadanie 11., strona 92, Chemia. Klasa 7. Zeszyt ćwiczeń - rozwiązania i odpowiedzi
Ćwiczenie 9., strona 34, Chemia. Klasa 2. Zakres podstawowy. Podręcznik- rozwiązania i odpowiedzi
Zadanie 1, strona 96, Chemia. Klasa 8. Podręcznik – rozwiązania i odpowiedzi
Ćwiczenie *14.78., strona 268, Chemia. Klasa 3. Zbiór zadań. Zakres rozszerzony - rozwiązania i odpowiedzi
REKLAMA
Skul
Zadania z tego działu
Matura chemia 2022 maj CKE (formuła 2015)- zadania
1

Zadania przypisane do działu

Zadanie 1

2

Podpunkt 1.1

2

Podpunkt 1.2

2

Zadanie 2

2

Zadanie 3

3

Podpunkt 3.1

3

Podpunkt 3.2

3

Podpunkt 3.3

3

Zadanie 4

4

Podpunkt 4.1

4

Podpunkt 4.2

4

Zadanie 5

5

Zadanie 6

6

Podpunkt 6.1

6

Podpunkt 6.2

6

Zadanie 7

6

Zadanie 8

7

Podpunkt 8.1

7

Podpunkt 8.2

7

Podpunkt 8.3

7

Zadanie 9

8

Podpunkt 9.1

8

Podpunkt 9.2

8

Zadanie 10

8

Zadanie 11

9

Zadanie 12

10

Podpunkt 12.1

10

Podpunkt 12.2

11

Podpunkt 12.3

11

Zadanie 13

12

Zadanie 14

12

Podpunkt 14.1

12

Podpunkt 14.2

12

Zadanie 15

13

Zadanie 16

13

Zadanie 17

14

Podpunkt 17.1

14

Podpunkt 17.2

14

Zadanie 18

14

Podpunkt 18.1

14

Podpunkt 18.2

15

Zadanie 19

15

Zadanie 20

16

Podpunkt 20.1

16

Podpunkt 20.2

16

Podpunkt 20.3

17

Zadanie 21

17

Podpunkt 21.1

17

Podpunkt 21.2

17

Zadanie 22

17

Zadanie 23

18

Zadanie 24

18

Zadanie 25

19

Zadanie 26

19

Zadanie 27

19

Zadanie 28

20

Zadanie 29

21

Zadanie 30

21

Zadanie 31

22

Zadanie 32

22

Zadanie 33

23

Zadanie 34

23
Pełny spis treści
Skul
Artboard 1
Skul.pl
  • Napisz do nas
  • FAQ
  • Mapa Serwisu
  • Google Play
  • App Store

Korzystanie z portalu oznacza akceptację Regulaminu.
Polityka prywatności. Ustawienia preferencji. Copyright: INTERIA.PL 1999-2023 Wszystkie prawa zastrzeżone.