Skul.pl
  • Opracowania zadań z podręczników
  • Matura z chemii. Formuła 2015. Poziom rozszerzony. Maj 2022
  • Zadanie 25

Matura z chemii. Formuła 2015. Poziom rozszerzony. Maj 2022

Arkusz egzaminacyjny, Wydawnictwo: CKE
Poprzednie

Zadanie 25 - strona 19

Następne

Zadanie

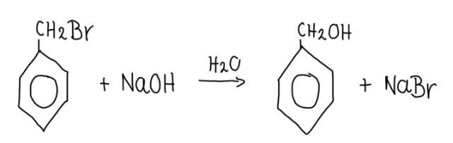
W formie cząsteczkowej zapisz równanie reakcji 2.

Rozwiązanie

Skul
Poprzednie
Następne

Chemia - wybrane pytania

Ćwiczenie 9, strona 322, Chemia. Klasa 3. Podręcznik. Zakres rozszerzony- rozwiązania i odpowiedzi
Ćwiczenie *4.199., strona 104, Chemia. Klasa 3. Zbiór zadań. Zakres rozszerzony - rozwiązania i odpowiedzi
Przykład przykład 33.5., strona 286, Chemia. Klasa 2. Podręcznik. Zakres rozszerzony - rozwiązania i odpowiedzi
Zadanie 6., strona 25, Chemia. Klasa 1. Zbiór zadań. Zakres rozszerzony- rozwiązania i odpowiedzi
Zadanie 2., strona 157, Chemia. Klasa 2. Podręcznik. Zakres rozszerzony. Część 2 - rozwiązania i odpowiedzi
Ćwiczenie 2., strona 309, To jest chemia. Klasa 1. Podręcznik. Zakres rozszerzony - rozwiązania i odpowiedzi
Zadanie 28.1, strona 82, To jest chemia 1. Maturalne karty pracy z kartami laboratoryjnymi dla liceum ogólnokształcącego i technikum. Zakres rozszerzony. Wersja 2019 - rozwiązania i odpowiedzi
Ćwiczenie 2., strona 48, Chemia Nowej Ery. Klasa 8. Zeszyt ćwiczeń – rozwiązania i odpowiedzi
Zadanie zadanie 3., strona 27, Chemia. Klasa 7. Zeszyt ćwiczeń - rozwiązania i odpowiedzi
Zadanie zadanie 6., strona 88, Chemia. Klasa 7. Zeszyt ćwiczeń - rozwiązania i odpowiedzi
REKLAMA
Skul
Zadania z tego działu
Matura chemia 2022 maj CKE (formuła 2015)- zadania
1

Zadania przypisane do działu

Zadanie 1

2

Podpunkt 1.1

2

Podpunkt 1.2

2

Zadanie 2

2

Zadanie 3

3

Podpunkt 3.1

3

Podpunkt 3.2

3

Podpunkt 3.3

3

Zadanie 4

4

Podpunkt 4.1

4

Podpunkt 4.2

4

Zadanie 5

5

Zadanie 6

6

Podpunkt 6.1

6

Podpunkt 6.2

6

Zadanie 7

6

Zadanie 8

7

Podpunkt 8.1

7

Podpunkt 8.2

7

Podpunkt 8.3

7

Zadanie 9

8

Podpunkt 9.1

8

Podpunkt 9.2

8

Zadanie 10

8

Zadanie 11

9

Zadanie 12

10

Podpunkt 12.1

10

Podpunkt 12.2

11

Podpunkt 12.3

11

Zadanie 13

12

Zadanie 14

12

Podpunkt 14.1

12

Podpunkt 14.2

12

Zadanie 15

13

Zadanie 16

13

Zadanie 17

14

Podpunkt 17.1

14

Podpunkt 17.2

14

Zadanie 18

14

Podpunkt 18.1

14

Podpunkt 18.2

15

Zadanie 19

15

Zadanie 20

16

Podpunkt 20.1

16

Podpunkt 20.2

16

Podpunkt 20.3

17

Zadanie 21

17

Podpunkt 21.1

17

Podpunkt 21.2

17

Zadanie 22

17

Zadanie 23

18

Zadanie 24

18

Zadanie 25

19

Zadanie 26

19

Zadanie 27

19

Zadanie 28

20

Zadanie 29

21

Zadanie 30

21

Zadanie 31

22

Zadanie 32

22

Zadanie 33

23

Zadanie 34

23
Pełny spis treści
Skul
Artboard 1
Skul.pl
  • Napisz do nas
  • FAQ
  • Mapa Serwisu
  • Google Play
  • App Store

Korzystanie z portalu oznacza akceptację Regulaminu.
Polityka prywatności. Ustawienia preferencji. Copyright: INTERIA.PL 1999-2023 Wszystkie prawa zastrzeżone.