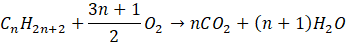
Spalanie całkowite pozwala otrzymać tlenek węgla(IV) i parę wodną. Zapisując wzór ogólny alkanu, można utworzyć schemat reakcji spalania całkowitego alkanu, gdzie przedstawione są zależnościami współczynniki stechiometryczne.
Narysuj wykres – na osi x umieść liczbę atomów tlenu, a na osi y – liczbę atomów wodoru. Policz liczbę tlenu potrzebną do reakcji spalania całkowitego dla kilku pierwszych alkanów, a następnie zaznacz punkty na wykresie i połącz.
Widać zależność liniową.
Liczba moli tlenu zwiększa się o 1,5 z każdym kolejnym alkanem.