Zadanie

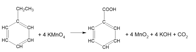
W tym zadaniu zapisz, na podstawie polecenia, równanie reakcji chemicznej, a następnie dobierz jej współczynniki stechiometryczne za pomocą bilansu elektronowego. Wskaż reduktor, utleniacz oraz procesy utleniania i redukcji.

Rozwiązanie

Wyjaśnienie

Zadania z tego działu
Węglowodory
43
10. Areny wielopierścieniowe
119
11. Izomeria węglowodorów
122