W tym zadaniu napisz wzór rzeczywisty węglowodoru na podstawie sporządzonych obliczeń.
Na początku oblicz, ile gramów węgla znajduje się w 8,8 g tlenku węgla(IV):
Gdy wiadomo, że spalono 3 g tego związku to:
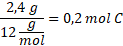
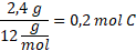
Oblicz liczby moli:
Określ stosunek molowy:
Odpowiedzią będzie:
, bo m = 2∙ 12 u + 6 ∙ 1 u = 30 u
Zadanie 1.
Zadanie 2.
Podpunkt a)
Podpunkt b)
Podpunkt c)
Podpunkt d)
Zadanie 3.
Podpunkt e)
Podpunkt f)
Zadanie 4.
Zadanie 5.
Zadanie 6.
Zadanie 7.
Zadanie 8.
Zadanie 9.
Zadanie 10.
Zadanie 11.
Zadanie 12.
Podpunkt g)
Pytanie 1.
Pytanie 2.
Pytanie 3.
Pytanie 4.
Pytanie 5.
Pytanie 6.