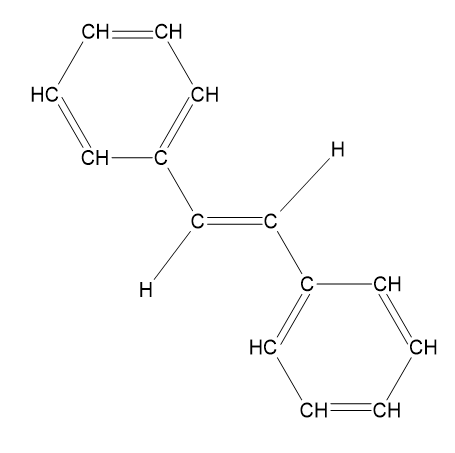
trans-stylben
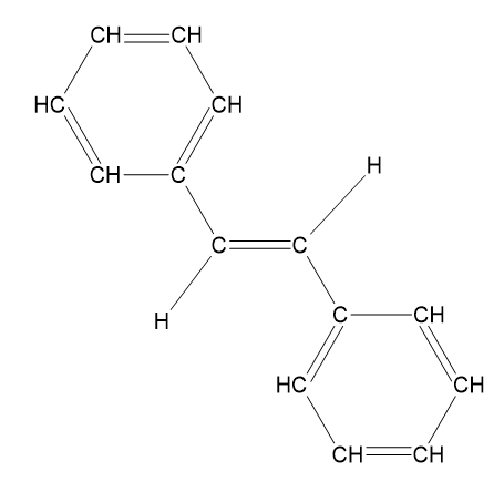
cis-stylben
Jest to izomeria geometryczna – cis-trans.
Izomery geometryczne cis-trans to rodzaj stereoizomerów, czyli związków chemicznych, które posiadają taką samą formułę sumaryczną, ale różnią się ułożeniem atomów w przestrzeni.
Izomery geometryczne cis-trans dotyczą związków, które posiadają w swojej strukturze podwójne wiązania chemiczne między atomami węgla. W takich przypadkach atomy wodoru, przyłączone do atomów węgla w pozycji 1 i 2 (licząc od jednego z końców podwójnego wiązania), mogą znajdować się po tej samej lub przeciwnej stronie wiązania podwójnego.
Jeśli atomy wodoru przyłączone do atomów węgla w pozycji 1 i 2 znajdują się po tej samej stronie wiązania podwójnego, mówimy o izomerze geometrii cis. W przypadku, gdy atomy wodoru przyłączone do atomów węgla w pozycji 1 i 2 znajdują się po przeciwnych stronach wiązania podwójnego, mówimy o izomerze geometrii trans.