Zadanie

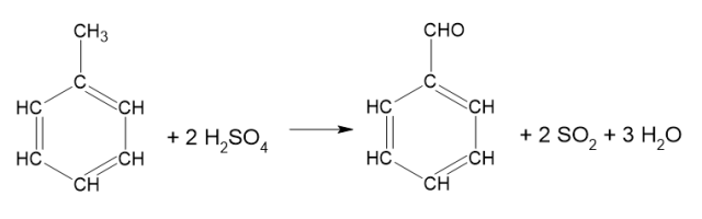
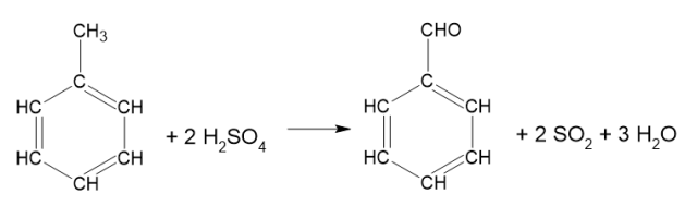
W tym zadaniu zapisz odpowiednie równanie reakcji chemicznej, ustal współczynniki stechiometryczne, a następnie udowodnij, że jest to reakcja redoks i wskaż utleniacz, reduktor, proces utleniania, proces redukcji.

Rozwiązanie

Wyjaśnienie

Zadania z tego działu
Węglowodory
43
10. Areny wielopierścieniowe
119
11. Izomeria węglowodorów
122