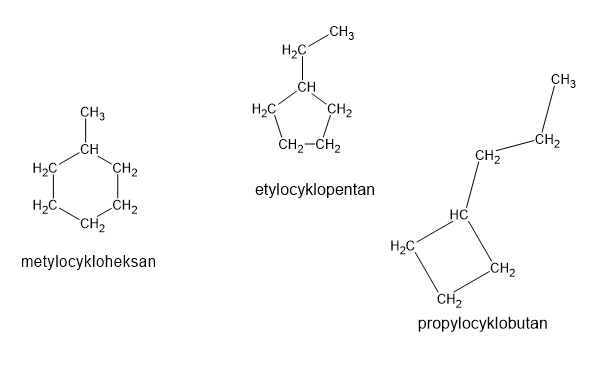
Izomery to związki o tym samym wzorze sumarycznym, a różnej strukturze.
Izomery szkieletowe różnią się tym, jak zbudowany jest szkielet węglowy.
Przedstawione zostały niektóre izomery związku – w zadaniu nie ma powiedziane, że należy narysować wszystkie. Musisz wykazać umiejętność tworzenia takich izomerów i pokazać, w jaki sposób się to dzieje.