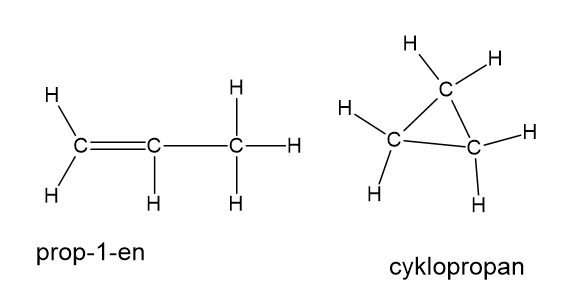
W tym zadaniu utwórz wzory strukturalne izomerów danego alkenu.
Izomery są to związki o takim samym wzorze sumarycznym, ale różnej strukturze.
Zadanie 1.
Zadanie 2.
Podpunkt a)
Podpunkt b)
Podpunkt c)
Podpunkt d)
Zadanie 3.
Podpunkt e)
Podpunkt f)
Zadanie 4.
Zadanie 5.
Zadanie 6.
Zadanie 7.
Zadanie 8.
Zadanie 9.
Zadanie 10.
Zadanie 11.
Zadanie 12.
Podpunkt g)
Pytanie 1.
Pytanie 2.
Pytanie 3.
Pytanie 4.
Pytanie 5.
Pytanie 6.