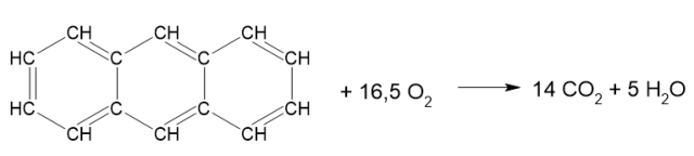
W tym zadaniu napisz równanie reakcji spalania całkowitego i niecałkowitego antracenu.
Rozwiązanie
Spalanie całkowite
Spalanie niecałkowite
Wyjaśnienie
Spalanie całkowite jest reakcją z tlenek, w której produktami są dwutlenek węgla i para wodna, a w spalaniu niecałkowitym zamiast dwutlenku węgla powstaje sadza.