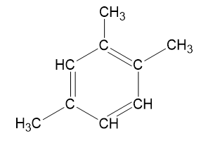
Zadanie

W tym zadaniu narysuj wzór półstrukturalny związku o podanej nazwie systematycznej.

Rozwiązanie

Wyjaśnienie

Zadania z tego działu
Węglowodory
43
10. Areny wielopierścieniowe
119
11. Izomeria węglowodorów
122