Skul.pl
  • Opracowania zadań z podręczników
  • Chemia. Klasa 1. Podręcznik. Zakres podstawowy. Wersja 2022 - rozwiązania i odpowiedzi
  • Podpunkt d)

Chemia. Klasa 1. Podręcznik. Zakres podstawowy. Wersja 2022 - rozwiązania i odpowiedzi

Podręcznik, Wydawnictwo: WSiP
Poprzednie

Zadanie 37, d) - strona 124

Następne

Zadanie

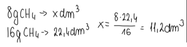
Ustal, ile dm³ w warunkach normalnych zajmują podane substancje.

Rozwiązanie

Skul

Wyjaśnienie

1 mol gazu w warunkach normalnych zajmuje objętość 22,4 dm3.

Poprzednie
Następne

Chemia - wybrane pytania

Zadanie 4, strona 89, Chemia. Klasa 3. Podręcznik. Zakres podstawowy - rozwiązania i odpowiedzi
Ćwiczenie 6., strona 97, Chemia. Klasa 8. Zeszyt ćwiczeń – rozwiązania i odpowiedzi
Zadanie 24, strona 98, Chemia. Klasa 2. Podręcznik. Zakres podstawowy. Wersja 2023 - rozwiązania i odpowiedzi
Zadanie 64, strona 45, To jest chemia 2. Maturalne karty pracy z kartami laboratoryjnymi dla liceum ogólnokształcącego i technikum. Klasa 2. Zakres rozszerzony- rozwiązania i odpowiedzi
Ćwiczenie 3., strona 65, Chemia Nowej Ery. Klasa 8. Zeszyt ćwiczeń – rozwiązania i odpowiedzi
Zadanie 9, strona 128, Chemia. Klasa 4. Podręcznik. Zakres rozszerzony. Wersja 2024 - rozwiązania i odpowiedzi
Ćwiczenie 11.68., strona 241, Chemia. Klasa 3. Zbiór zadań. Zakres rozszerzony - rozwiązania i odpowiedzi
Ćwiczenie 5., strona 201, Chemia Nowej Ery. Klasa 8. Podręcznik- rozwiązania i odpowiedzi
Ćwiczenie 6., strona 9, Chemia. Klasa 8. Zeszyt ćwiczeń – rozwiązania i odpowiedzi
Ćwiczenie 3., strona 231, Chemia 2. Podręcznik dla szkół ponadpodstawowych. Klasa 2. Zakres rozszerzony- rozwiązania i odpowiedzi
REKLAMA
Skul
Zadania z tego działu
Reakcje chemiczne
89
13. Prawa ilościowe w reakcjach chemicznych
92

Zadanie 1.

97

Zadanie 2.

97

Zadanie 3.

97
14. Stechiometria reakcji chemicznych - mol
98

Zadanie 1.

102

Zadanie 2

102

Zadanie 3

102

Zadanie 4.

102
15. Podstawy obliczeń stechiometrycznych
103

Zadanie 1.

106

Zadanie 2

106

Zadanie 3.

106

Zadanie 4.

106
16. Energia w reakcjach chemicznych
107

Zadanie 1.

112

Podpunkt a)

112

Podpunkt b)

112

Zadanie 2.

112

Zadanie 3.

112

Podpunkt a)

112

Podpunkt b)

112

Podpunkt c)

112

Podpunkt d)

112
17. Szybkość reakcji chemicznych
113

Zadanie 1.

119

Zadanie 2.

119

Zadanie 3.

119
Podsumowanie działu
122

Zadanie 1.

122

Zadanie 2.

122

Zadanie 3.

122

Zadanie 4.

122

Zadanie 5.

122

Zadanie 6.

122

Zadanie 7.

122

Zadanie 8.

122

Zadanie 9

122

Zadanie 10

123

Zadanie 11

123

Zadanie 12

123

Zadanie 13

123

Zadanie 14

123

Zadanie 15

123

Zadanie 16

123

Zadanie 17

123

Zadanie 18

123

Zadanie 19

123

Zadanie 20

123

Zadanie 21

123

Zadanie 22

123

Zadanie 23

123

Zadanie 24

123

Zadanie 25

123

Zadanie 26

123

Zadanie 27

123

Zadanie 28

123

Zadanie 29

123

Zadanie 30

124

Zadanie 31

124

Zadanie 32

124

Zadanie 33

124

Zadanie 34

124

Zadanie 35

124

Zadanie 36

124

Zadanie 37

124

Podpunkt a)

124

Podpunkt b)

124

Podpunkt c)

124

Podpunkt d)

124

Zadanie 38

124

Zadanie 39

124

Zadanie 40

124

Zadanie 41

124

Zadanie 42

124

Podpunkt a)

124

Podpunkt b)

124

Podpunkt c)

124

Podpunkt d)

124

Zadanie 43

124

Zadanie 44

124
Pełny spis treści
Skul
Artboard 1
Skul.pl
  • Napisz do nas
  • FAQ
  • Mapa Serwisu
  • Google Play
  • App Store

Korzystanie z portalu oznacza akceptację Regulaminu.
Polityka prywatności. Ustawienia preferencji. Copyright: INTERIA.PL 1999-2023 Wszystkie prawa zastrzeżone.