Skul.pl
  • Opracowania zadań z podręczników
  • Chemia. Klasa 1. Podręcznik. Zakres podstawowy. Wersja 2022 - rozwiązania i odpowiedzi
  • Zadanie 39

Chemia. Klasa 1. Podręcznik. Zakres podstawowy. Wersja 2022 - rozwiązania i odpowiedzi

Podręcznik, Wydawnictwo: WSiP
Poprzednie

Zadanie 39 - strona 124

Następne

Zadanie

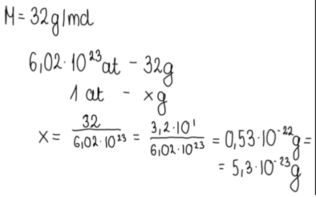
Oblicz masę jednego atomu izotopu siarki 32S wyrażoną w gramach, korzystając z masy molowej i liczby Avogadra.

Rozwiązanie

Skul

Wyjaśnienie

W 1 molu atomów/cząsteczek bądź jonów znajduje się zawsze 6,02*1023 atomów/cząsteczek/jonów (prawo Avogadra).

Poprzednie
Następne

Chemia - wybrane pytania

Ćwiczenie 5., strona 41, Chemia. Klasa 1. Podręcznik. Zakres rozszerzony - rozwiązania i odpowiedzi
Ćwiczenie 1., strona 14, Chemia 2. Podręcznik dla szkół ponadpodstawowych. Klasa 2. Zakres rozszerzony- rozwiązania i odpowiedzi
Ćwiczenie *16.115., strona 301, Chemia. Klasa 3. Zbiór zadań. Zakres rozszerzony - rozwiązania i odpowiedzi
Zadanie 9., strona 33, Chemia. Klasa 1. Zbiór zadań. Zakres rozszerzony - rozwiązania i odpowiedzi
Zadanie 10, strona 13, Matura z chemii. Formuła 2023. Poziom rozszerzony. Maj 2024
Zadanie 12, strona 192, Świat chemii. Klasa 8. Podręcznik – rozwiązania i odpowiedzi
Zadanie 65, strona 45, To jest chemia 2. Maturalne karty pracy z kartami laboratoryjnymi dla liceum ogólnokształcącego i technikum. Klasa 2. Zakres rozszerzony- rozwiązania i odpowiedzi
Zadanie 7.2.60., strona 126, Chemia. Klasa 7,8. Zbiór zadań- rozwiązania i odpowiedzi
Ćwiczenie 5.41., strona 122, Chemia. Klasa 3. Zbiór zadań. Zakres rozszerzony - rozwiązania i odpowiedzi
Ćwiczenie 11.58., strona 238, Chemia. Klasa 3. Zbiór zadań. Zakres rozszerzony - rozwiązania i odpowiedzi
REKLAMA
Skul
Zadania z tego działu
Reakcje chemiczne
89
13. Prawa ilościowe w reakcjach chemicznych
92

Zadanie 1.

97

Zadanie 2.

97

Zadanie 3.

97
14. Stechiometria reakcji chemicznych - mol
98

Zadanie 1.

102

Zadanie 2

102

Zadanie 3

102

Zadanie 4.

102
15. Podstawy obliczeń stechiometrycznych
103

Zadanie 1.

106

Zadanie 2

106

Zadanie 3.

106

Zadanie 4.

106
16. Energia w reakcjach chemicznych
107

Zadanie 1.

112

Podpunkt a)

112

Podpunkt b)

112

Zadanie 2.

112

Zadanie 3.

112

Podpunkt a)

112

Podpunkt b)

112

Podpunkt c)

112

Podpunkt d)

112
17. Szybkość reakcji chemicznych
113

Zadanie 1.

119

Zadanie 2.

119

Zadanie 3.

119
Podsumowanie działu
122

Zadanie 1.

122

Zadanie 2.

122

Zadanie 3.

122

Zadanie 4.

122

Zadanie 5.

122

Zadanie 6.

122

Zadanie 7.

122

Zadanie 8.

122

Zadanie 9

122

Zadanie 10

123

Zadanie 11

123

Zadanie 12

123

Zadanie 13

123

Zadanie 14

123

Zadanie 15

123

Zadanie 16

123

Zadanie 17

123

Zadanie 18

123

Zadanie 19

123

Zadanie 20

123

Zadanie 21

123

Zadanie 22

123

Zadanie 23

123

Zadanie 24

123

Zadanie 25

123

Zadanie 26

123

Zadanie 27

123

Zadanie 28

123

Zadanie 29

123

Zadanie 30

124

Zadanie 31

124

Zadanie 32

124

Zadanie 33

124

Zadanie 34

124

Zadanie 35

124

Zadanie 36

124

Zadanie 37

124

Podpunkt a)

124

Podpunkt b)

124

Podpunkt c)

124

Podpunkt d)

124

Zadanie 38

124

Zadanie 39

124

Zadanie 40

124

Zadanie 41

124

Zadanie 42

124

Podpunkt a)

124

Podpunkt b)

124

Podpunkt c)

124

Podpunkt d)

124

Zadanie 43

124

Zadanie 44

124
Pełny spis treści
Skul
Artboard 1
Skul.pl
  • Napisz do nas
  • FAQ
  • Mapa Serwisu
  • Google Play
  • App Store

Korzystanie z portalu oznacza akceptację Regulaminu.
Polityka prywatności. Ustawienia preferencji. Copyright: INTERIA.PL 1999-2023 Wszystkie prawa zastrzeżone.