W tym zadaniu musisz wypisać podane w zadaniu dane, odczytując wcześniej objętość cieczy z rysunku, zdefiniować i podać, czym jest szukana w tym zadaniu oraz na podstawie wzoru na gęstość wyznaczyć gęstość cieczy.
Rozwiązanie
Dane:
Szukane:
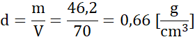
Rozwiązanie:
Odpowiedź: Gęstość substancji wynosi .
Wyjaśnienie
Z rysunku wynika, że objętość cieczy wynosi . W tym wypadku skorzystaj ze wzoru na gęstość i wpisz wartości liczbowe. Pamiętaj o zapisaniu wyniku w odpowiedniej jednostce, w tym wypadku .