W tym zadaniu musisz narysować wektory sił, obliczyć przyspieszenie skrzyni i odczytać wartość prędkości po 3 sekundach ruchu oraz wysokość skrzyni po tym czasie.
a) Fc = m · g = 210 kg · 10 m/s2 = 2100 N
Rysunek:
b) Fw = F – Fc = 2205 – 2100 = 105 N
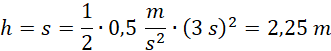
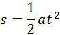
c) v(3 s) = 1,5 m/s2.
Ćwiczenie 1.
Ćwiczenie 2.
Ćwiczenie 3.
Ćwiczenie 4.
Ćwiczenie 5.
Ćwiczenie 6.
Ćwiczenie 7.
Ćwiczenie 8.
Ćwiczenie 9.
Ćwiczenie 10.
Ćwiczenie 11.
Ćwiczenie 12.
Ćwiczenie 13.