| Wygląd | Rodzaj soczewki | Odległość ogniska od soczewki, m | Ogniskowa f, m | Zdolność skupiająca Z, D |
| rozpraszająca | 0,2 | -0,2 | -5 | |
| rozpraszająca | 0,25 | -0,25 | -4 | |
| skupiająca | 0,5 | 0,5 | 2 | |
| skupiająca | 0,05 | 0,05 | 20 |
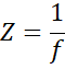
Skorzystaj ze wzorów:
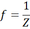
oraz jego przekształcenia: