1 cm – 10 cm
-6 cm – x cm
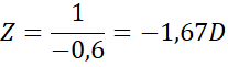
X = -60 cm = -0,6 m = f
Przedmiot jest umieszczony w ognisku. Ognisko wyznacza przecięcie przedłużenia czerwonego promienia z osią optyczną.
Skorzystaj ze skali:
1 cm – 10 cm
-6 cm – x cm
X = -60 cm = -0,6 m = f
Oblicz Z, wiedząc, że Z=1/f: