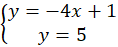
W tym zadaniu narysuj prostą k o wzorze y = -4x + 1 oraz l o wzorze y = 5. Odczytaj współrzędne punktu, w którym te proste się przecinają, a następnie sprawdź poprawność odczytu metodą algebraiczną, tzn. poprzez podstawienie współrzędnych x i y do obu równań prostych.
| X | -2 | 0 |
| y = -4x + 1 | 9 | 1 |
A(-1, 5)
Wykonaj tabelkę, na górze podaj liczbę, którą podstawisz za x, aby wyliczyć y. Dzięki temu wyznaczysz współrzędne punktów, należących do wykresu funkcji liniowej. Zaznacz te punktu i przeprowadź przez nie prostą. Zrób to dla obu prostych. Następnie zapisz współrzędne punktu A, czyli punkt przecięcia prostych. Żeby policzyć punkt przecięcia prostych metodą algebraiczną, utwórz układ równań. Pierwszym równaniem w tym układzie będzie wzór pierwszej prostej, a drugim równaniem będzie wzór drugiej prostej. Następnie wylicz układ równań metodą podstawiania.
Ćwiczenie 1.
151Ćwiczenie 2.
152Ćwiczenie 3.
153Ćwiczenie 4.
153Ćwiczenie 5.
154Ćwiczenie 6.
155Zadanie 1.
155Ćwiczenie 1.1.
156Ćwiczenie 2.
157Ćwiczenie 3.1.
158Zadanie 1.
158Zadanie 2.
158Zadanie 3.
158Ćwiczenie 1.
159Ćwiczenie 2.
160Zadanie 1.
160Zadanie branżowe 3.
160Ćwiczenie 1.
162Ćwiczenie 2.
162Zadanie 1.
163Zadanie 2.
163Zadanie branżowe 4.
163Ćwiczenie 1.
164Ćwiczenie 2.
165Ćwiczenie 3.
166Ćwiczenie 4.
167Ćwiczenie 5.
167Zadanie 1.
167Zadanie 2.
167Ćwiczenie 1.
169Zadanie To się liczy!
169Ćwiczenie 2.
171Ćwiczenie 3.
172Ćwiczenie 4.
173Zadanie 1.
173Zadanie 2.
173Zadanie branżowe
175Zadanie 4.
176Zadanie 5.
176Zadanie 6.
176Zadanie 7.
176Zadanie 6.
177