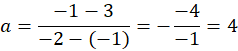
Geodeta zaznaczył na układzie współrzędnych położenie słupków granicznych działki: A(-1, 3), B(-2, -1), C(4, 0), D(5, 4). Napisz, jakie równania opisują proste, które stanowią granice działki.
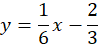
Prosta przechodząca przez punkty A i B:
y = ax + b
Prosta przechodząca przez punkty B i C:
y = ax + b
Prosta przechodząca przez punkty C i D:
y = ax + b
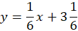
Prosta przechodząca przez punkty D i A:
y = ax + b
Oblicz współczynnik kierunkowy prostej poprzez podłożenie współrzędnych par punktów A i B, B i C, C i D, D i A do wzoru:
Następnie pod wzór y = ax + b podłóż obliczony współczynnik kierunkowy oraz współrzędne dowolnego podanego punktu. Po wyliczeniu b utwórz równanie prostej poprzez podłożenie a i b do wzoru y = ax + b.
Ćwiczenie 1.
151Ćwiczenie 2.
152Ćwiczenie 3.
153Ćwiczenie 4.
153Ćwiczenie 5.
154Ćwiczenie 6.
155Zadanie 1.
155Ćwiczenie 1.1.
156Ćwiczenie 2.
157Ćwiczenie 3.1.
158Zadanie 1.
158Zadanie 2.
158Zadanie 3.
158Ćwiczenie 1.
159Ćwiczenie 2.
160Zadanie 1.
160Zadanie branżowe 3.
160Ćwiczenie 1.
162Ćwiczenie 2.
162Zadanie 1.
163Zadanie 2.
163Zadanie branżowe 4.
163Ćwiczenie 1.
164Ćwiczenie 2.
165Ćwiczenie 3.
166Ćwiczenie 4.
167Ćwiczenie 5.
167Zadanie 1.
167Zadanie 2.
167Ćwiczenie 1.
169Zadanie To się liczy!
169Ćwiczenie 2.
171Ćwiczenie 3.
172Ćwiczenie 4.
173Zadanie 1.
173Zadanie 2.
173Zadanie branżowe
175Zadanie 4.
176Zadanie 5.
176Zadanie 6.
176Zadanie 7.
176Zadanie 6.
177